Enhanced PID (PIDE)
This information applies to the
CompactLogix
5370, ControlLogix
5570, CompactLogix
5380, and ControlLogix
5580 controllers.
NOTE:
The PIDE instruction is not supported in safety applications and
is not supported on ControlLogix 5590 controllers. For ControlLogix 5590 controller
projects, substitute the PPID instruction. See
Replacement Guidelines: Logix 5000
Controllers
(publication 1756-RM100) for information on migrating projects for use
with ControlLogix 5590 controllers.The Enhanced PID (PIDE) instruction provides enhanced capabilities over the standard PID
instruction. The instruction uses the velocity form of the PID algorithm. The gain terms are
applied to the change in the value of error or PV, not the value of error or PV.
Available Languages
Ladder Diagram
This instruction is not available in ladder diagram.
Function Block

Structured Text
PIDE(PIDE_tag);
Operands
Function Block
Operand | Type | Format | Description |
PIDE tag | PID_ENHANCED | structure | PIDE structure |
autotune tag | PIDE_AUTOTUNE | structure | (optional)
autotune structure |
Structured Text
Operand | Type | Format | Description |
PIDE tag | PID_ENHANCED | structure | PIDE structure |
See
Structured Text Syntax
for more information on the syntax of expressions within structured text.PIDE Structure
Input Parameter | Data Type | Description |
|---|---|---|
EnableIn | BOOL | Enable input. If false, the instruction does not execute and outputs are not updated.
Default is true. |
PV | REAL | Scaled process variable input. This value is typically read from an analog input module.
Valid = any float
Default = 0.0 |
PVFault | BOOL | PV bad health indicator. If PV is read from an analog input, then PVFault is normally controlled by the analog input fault status. When PVFault is true, it indicates the input signal has an error.
Default is false = "good health" |
PVEUMax | REAL | Maximum scaled value for PV. The value of PV and SP which corresponds to 100 percent span of the Process Variable.
Valid = PVEUMin < PVEUMax maximum positive float
Default = 100.0 |
PVEUMin | REAL | Minimum scaled value for PV. The value of PV and SP which corresponds to 0 percent span of the Process Variable.
Valid = maximum negative float PVEUMin < PVEUMax
Default = 0.0 |
SPProg | REAL | SP program value, scaled in PV units. SP is set to this value when in Program control and not Cascade/Ratio mode. If the value of SPProg < SPLLimit or > SPHLimit, the instruction sets the appropriate bit in Status and limits the value used for SP.
Valid = SPLLimit to SPHLimit
Default = 0.0 |
SPOper | REAL | SP operator value, scaled in PV units. SP is set to this value when in Operator control and not Cascade/Ratio mode. If the value of SPOper < SPLLimit or > SPHLimit, the instruction sets the appropriate bit in Status and limits the value used for SP.
Valid = SPLLimit to SPHLimit
Default = 0.0 |
SPCascade | REAL | SP Cascade value, scaled in PV units. If CascadeRatio is true and UseRatio is false, then SP = SPCascade. This is typically the CVEU of a primary loop. If CascadeRatio and UseRatio are true, then SP = (SPCascade x Ratio). If the value of SPCascade < SPLLimit or > SPHLimit, set the appropriate bit in Status and limit the value used for SP.
Valid = SPLLimit to SPHLimit
Default = 0.0 |
SPHLimit | REAL | SP high limit value, scaled in PV units. If SPHLimit > PVEUMax, the instruction sets the appropriate bit in Status.
Valid = SPLLimit to PVEUMax
Default = 100.0 |
SPLLimit | REAL | SP low limit value, scaled in PV units. If SPLLimit < PVEUMin, the instruction sets the appropriate bit in Status. If SPHLimit < SPLLimit, the instruction sets the appropriate bit in Status and limits SP using the value of SPLLimit.
Valid = PVEUMin to SPHLimit
Default = 0.0 |
UseRatio | BOOL | Allow ratio control permissive. Set to true to enable ratio control when in Cascade/Ratio mode.
Default is false. |
RatioProg | REAL | Ratio program multiplier. Ratio and RatioOper are set equal to this value when in Program control. If RatioProg < RatioLLimit or > RatioHLimit, the instruction sets the appropriate bit in Status and limits the value used for Ratio.
Valid = RatioLLimit to RatioHLimit
Default = 1.0 |
RatioOper | REAL | Ratio operator multiplier. Ratio is set equal to this value when in Operator control. If RatioOper < RatioLLimit or > RatioHLimit, the instruction sets the appropriate bit in Status and limits the value used for Ratio.
Valid = RatioLLimit to RatioHLimit
Default = 1.0 |
RatioHLimit | REAL | Ratio high limit value. Limits the value of Ratio obtained from RatioProg or RatioOper. If RatioHLimit < RatioLLimit, the instruction sets the appropriate bit in Status and limits Ratio using the value of RatioLLimit.
Valid = RatioLLimit to maximum positive float
Default = 1.0 |
RatioLLimit | REAL | Ratio low limit value. Limits the value of Ratio obtained from RatioProg or RatioOper. If RatioLLimit < 0, the instruction sets the appropriate bit in Status and limits the value to zero. If RatioHLimit < RatioLLimit, the instruction sets the appropriate bit in Status and limits Ratio using the value of RatioLLimit.
Valid = 0.0 to RatioHLimit
Default = 1.0 |
CVFault | BOOL | Control variable bad health indicator. If CVEU controls an analog output, then CVFault normally comes from the analog output’s fault status. When true, CVFault indicates an error on the output module and the instruction sets the appropriate bit in Status.
Default is false = "good health" |
CVInitReq | BOOL | CV initialization request. This signal is normally controlled by the "In Hold" status on the analog output module controlled by CVEU or from the InitPrimary output of a secondary PID loop.
Default is false. |
CVInitValue | REAL | CVEU initialization value, scaled in CVEU units. When CVInitializing is true, CVEU = CVInitValue and CV equals the corresponding percentage value. CVInitValue comes from the feedback of the analog output controlled by CVEU or from the setpoint of a secondary loop. Instruction initialization is disabled when CVFaulted or CVEUSpanInv is true.
Valid = any float
Default = 0.0 |
CVProg | REAL | CV program manual value. CV equals this value when in Program Manual mode. If CVProg < 0 or > 100, or < CVLLimit or > CVHLimit when CVManLimiting is true, the instruction sets the appropriate bit in Status and limits the CV value.
Valid = 0.0 to 100.0
Default = 0.0 |
CVOper | REAL | CV operator manual value. CV equals this value when in Operator Manual mode. If not Operator Manual mode, the instruction sets CVOper = CV at the end of each instruction execution. If CVOper < 0 or > 100, or < CVLLimit or > CVHLimit when CVManLimiting is true, the instruction sets the appropriate bit in Status and limits the CV value.
Valid = 0.0 to 100.0
Default = 0.0 |
CVOverride | REAL | CV override value. CV equals this value when in override mode. This value should correspond to a safe state output of the PID loop. If CVOverride < 0 or >100, the instruction sets the appropriate bit in Status and limits the CV value.
Valid = 0.0 to 100.0
Default = 0.0 |
CVPrevious | REAL | CV n-1 value. If CVSetPrevious is set, CVn-1 equals this value. CVn-1 is the value of CV from the previous execution. CVPrevious is ignored when in manual, override or hand mode or when CVInitializing is set. If CVPrevious < 0 or > 100, or < CVLLimit or > CVHLimit when in Auto or cascade/ratio mode, the instruction sets the appropriate bit in Status and limits the CVn-1 value.Valid = 0.0 to 100.0 Default = 0.0 |
CVSetPrevious | BOOL | Request to use CVPrevious. If true, CVn-1 = CVPrevious Default is false. |
CVManLimiting | BOOL | Limit CV in manual mode request. If Manual mode and CVManLimiting is true, CV is limited by the CVHLimit and CVLLimit values.
Default is false. |
CVEUMax | REAL | Maximum value for CVEU. The value of CVEU which corresponds to 100 percent CV. If CVEUMax = CVEUMin, the instruction sets the appropriate bit in Status.
Valid = any float
Default = 100.0 |
CVEUMin | REAL | Minimum value of CVEU. The value of CVEU which corresponds to 0 percent CV. If CVEUMax = CVEUMin, the instruction sets the appropriate bit in Status.
Valid = any float
Default = 0.0 |
CVHLimit | REAL | CV high limit value. This is used to set the CVHAlarm output. It is also used for limiting CV when in Auto or Cascade/Ratio mode, or Manual mode if CVManLimiting is true. If CVHLimit > 100 or < CVLLimit, the instruction sets the appropriate bit in Status. If CVHLimit < CVLLimit, the instruction limits CV using the value of CVLLimit.
Valid = CVLLimit < CVHLimit 100.0
Default = 100.0 |
CVLLimit | REAL | CV low limit value. This is used to set the CVLAlarm output. It is also used for limiting CV when in Auto or Cascade/Ratio mode, or Manual mode if CVManLimiting is true. If CVLLimit < 0 or CVHLimit < CVLLimit, the instruction sets the appropriate bit in Status. If CVHLimit < CVLLimit, the instruction limits CV using the value of CVLLimit.
Valid = 0.0 CVLLimit < CVHLimit
Default = 0.0 |
CVROCLimit | REAL | CV rate of change limit, in percent per second. Rate of change limiting is only used when in Auto or Cascade/Ratio modes or Manual mode if CVManLimiting is true. Enter 0 to disable CV ROC limiting. If CVROCLimit < 0, the instruction sets the appropriate bit in Status and disables CV ROC limiting.
Valid = 0.0 to maximum positive float
Default = 0.0 |
FF | REAL | Feed forward value. The value of feed forward is summed with CV after the zero-crossing deadband limiting has been applied to CV. Therefore changes in FF are always reflected in the final output value of CV. If FF < -100 or > 100, the instruction sets the appropriate bit in Status and limits the value used for FF.
Valid = -100.0 to 100.0
Default = 0.0 |
FFPrevious | REAL | FF n-1 value. If FF SetPrevous is set, the instruction sets FFn-1 = FFPrevious. FFn-1 is the valu eof FF from the previous execution. If FFPrevious < -100 or > 100, the instruction sets the appropriate bit in Status and limits value used for FFn-1 Valid = -100.0 to 100.0 Default - 0.0 |
FFSetPrevious | BOOL | Request to use FFPrevious. If true, FFn-1 = FFPrevious. Default is false. |
HandFB | REAL | CV Hand feedback value. CV equals this value when in Hand mode and HandFBFault is false (good health). This value typically comes from the output of a field mounted hand/ auto station and is used to generate a bumpless transfer out of hand mode. If HandFB < 0 or > 100, the instruction sets the appropriate bit in Status and limits the value used for CV.
Valid = 0.0 to 100.0
Default = 0.0 |
HandFBFault | BOOL | HandFB value bad health indicator. If the HandFB value is read from an analog input, then HandFBFault is typically controlled by the status of the analog input channel. When true, HandFBFault indicates an error on the input module and the instruction sets the appropriate bit in Status.
Default is false = "good health" |
WindupHIn | BOOL | Windup high request. When true, the CV cannot integrate in a positive direction. The signal is typically obtained from the WindupHOut output from a secondary loop.
Default is false. |
WindupLIn | BOOL | Windup low request. When true, the CV cannot integrate in a negative direction. This signal is typically obtained from the WindupLOut output from a secondary loop.
Default is false. |
ControlAction | BOOL | Control action request. Set to true to calculate error as E = PV - SP; clear to false to calculate error as E = SP - PV.
Default is false. |
DependIndepend | BOOL | Dependent/independent control request. When true, use the dependent form of the PID equation; when false, use the independent form of the equations.
Default is false. |
PGain | REAL | Proportional gain. When the independent form of the PID algorithm is selected, enter the unitless proportional gain into this value. When the dependent PID algorithm is selected, enter the unitless controller gain into this value. Enter 0 to disable the proportional control. If PGain < 0, the instruction sets the appropriate bit in Status and uses a value of PGain = 0.
Valid = 0.0 to maximum positive float
Default = 0.0 |
IGain | REAL | Integral gain. When the independent form of the PID algorithm is selected, enter the integral gain in units of 1/minutes into this value. When the dependent PID algorithm is selected, enter the integral time constant in units of minutes/repeat into this value. Enter 0 to disable the integral control. If IGain < 0, the instruction sets the appropriate bit in Status and uses a value of IGain = 0.
Valid = 0.0 to maximum positive float
Default = 0.0 |
DGain | REAL | Derivative gain. When the independent form of the PID algorithm is selected, enter the derivative gain in units of minutes into this value. When the dependent PID algorithm is used, enter the derivative time constant in units of minutes into this value. Enter 0 to disable the derivative control. If DGain < 0, the instruction sets the appropriate bit in Status and uses a value of DGain = 0.
Valid = 0.0 to maximum positive float
Default = 0.0 |
PVEProportional | BOOL | Proportional PV control request. When true, calculate the proportional term (DeltaPTerm) using the change in process variable (PVPercent). When false, use the change in error (EPercent).
Default is false. |
PVEDerivative | BOOL | Derivative PV control request. When true, calculate the derivative term (DeltaDTerm) using the change in process variable (PVPercent). When false, use the change in error (EPercent).
Default is true. |
DSmoothing | BOOL | Derivative Smoothing request. When true, changes in the derivative term are smoothed. Derivative smoothing causes less output "jitters" as a result of a noisy PV signal but also limits the effectiveness of high derivative gains.
Default is false. |
PVTracking | BOOL | SP track PV request. Set to true to cause SP to track PV when in manual mode. Ignored when in Cascade/Ratio or Auto mode.
Default is false. |
ZCDeadband | REAL | Zero crossing deadband range, scaled in PV units. Defines the zero crossing deadband range. Enter 0 to disable the zero crossing deadband checking. If ZCDeadband < 0, the instruction sets the appropriate bit in Status and disables zero crossing deadband checking.
Valid = 0.0 to maximum positive float
Default = 0.0 |
ZCOff | BOOL | Zero crossing disable request. Set to true to disable zero crossing for the deadband calculation.
Default is false. |
PVHHLimit | REAL | PV high-high alarm limit value, scaled in PV units.
Valid = any float
Default = maximum positive float |
PVHLimit | REAL | PV high alarm limit value, scaled in PV units.
Valid = any float
Default = maximum positive float |
PVLLimit | REAL | PV low alarm limit value, scaled in PV units.
Valid = any float
Default = maximum negative float |
PVLLLimit | REAL | PV low-low alarm limit value, scaled in PV units.
Valid = any float
Default = maximum negative float |
PVDeadband | REAL | PV alarm limit deadband value, scaled in PV units. Deadband is the delta value between the turn-on and turn-off value for each of the PV alarm limits. If PVDeadband < 0.0, the instruction sets the appropriate bit in Status and limits PVDeadband to zero.
Valid = 0.0 to maximum positive float
Default = 0.0 |
PVROCPosLimit | REAL | PV positive rate of change alarm limit. The limit value for a positive (increasing) change in PV, scaled in PV units per seconds. Enter 0.0 to disable positive PVROC alarm checking. If PVROCPosLimit < 0.0, the instruction sets the appropriate bit in Status and disables positive PVROC checking.
Valid = 0.0 to maximum positive float
Default = 0.0 PV/second |
PVROCNegLimit | REAL | PV negative rate of change alarm limit. The limit value for a negative (decreasing) change in PV, scaled in PV units per seconds. Enter 0.0 to disable negative PVROC alarm checking. If PVROCNegLimit < 0, the instruction sets the appropriate bit in Status and disables negative PVROC checking.
Valid = 0.0 to maximum positive float
Default = 0.0 |
PVROCPeriod | REAL | PV rate of change sample period. The time period, in seconds, over which the rate of change for PV is evaluated. Enter 0 to disable PVROC alarm checking If PVROCPeriod < 0.0, the instruction sets the appropriate bit in Status, and disables positive and negative PVROC checking.
Valid = any float 0.0
Default = 0.0 seconds |
DevHHLimit | REAL | Deviation high-high alarm limit value, scaled in PV units. Deviation is the difference in value between the process variable (PV) and the setpoint (SP). Deviation alarming alerts the operator to a discrepancy between the process variable and the setpoint value. If DevHHLimit < 0.0, the instruction sets the appropriate bits in Status and sets DevHHLimit = 0.0.
Valid = 0.0 to maximum positive float
Default = maximum positive float |
DevHLimit | REAL | Deviation high alarm limit value, scaled in PV units. Deviation is the difference in value between the process variable (PV) and the setpoint (SP). Deviation alarming alerts the operator to a discrepancy between the process variable and the setpoint value. If DevHLimit < 0.0, the instruction sets the appropriate bit in Status and sets DevHLimit = 0.0.
Valid = 0.0 to maximum positive float
Default = maximum positive float |
DevLLimit | REAL | Deviation low alarm limit value, scaled in PV units. Deviation is the difference in value between the process variable (PV) and the setpoint (SP). Deviation alarming alerts the operator to a discrepancy between the process variable and the setpoint value. If DevLLimit < 0.0, the instruction sets the appropriate bit in Status and sets DevLLimit = 0.0.
Valid = 0.0 to maximum positive float
Default = maximum positive float |
DevLLLimit | REAL | Deviation low-low alarm limit value, scaled in PV units. Deviation is the difference in value between the process variable (PV) and the setpoint (SP). Deviation alarming alerts the operator to a discrepancy between the process variable and the setpoint value. If DevLLLimit < 0.0, the instruction sets the appropriate bit in Status and sets DevLLLimit = 0.0.
Valid = 0.0 to maximum positive float
Default = maximum positive float |
DevDeadband | REAL | The deadband value for the Deviation alarm limits, scaled in PV units. Deadband is the delta value between the turn-on and turn-off value for each of the Deviation alarm limits. If DevDeadband < 0.0, the instruction sets the appropriate bit in Status and sets DevDeadband = 0.0.
Valid = 0.0 to maximum positive float
Default = 0.0 |
AllowCasRat | BOOL | Allow cascade/ratio mode permissive. Set to true to allow Cascade/Ratio mode to be selected using either ProgCasRatReq or OperCasRatReq.
Default is false. |
ManualAfterInit | BOOL | Manual mode after initialization request. When true, the instruction is placed in Manual mode when CVInitializing is true, unless the current mode is Override or Hand. When ManualAfterInit is false, the instruction’s mode is not changed, unless requested to do so.
Default is false. |
ProgProgReq | BOOL | Program program request. Set to true by the user program to request Program control. Ignored if ProgOperReq is true. Holding this true and ProgOperReq false locks the instruction in Program control. When ProgValueReset is true, the instruction clears this input to false at each execution.
Default is false. |
ProgOperReq | BOOL | Program operator request. Set to true by the user program to request Operator control. Holding this true locks the instruction in Operator control. When ProgValueReset is true, the instruction clears this input to false at each execution.
Default is false. |
ProgCasRatReq | BOOL | Program cascade/ratio mode request. Set to true by the user program to request Cascade/Ratio mode. When ProgValueReset is true, the instruction clears this input to false at each execution.
Default is false. |
ProgAutoReq | BOOL | Program auto mode request. Set to true by the user program to request Auto mode. When ProgValueReset is true, the instruction clears this input to false at each execution.
Default is false. |
ProgManualReq | BOOL | Program manual mode request. Set to true by the user program to request Manual mode. When ProgValueReset is true, the instruction clears this input to false ateach execution.
Default is false. |
ProgOverrideReq | BOOL | Program override mode request. Set to true by the user program to request Override mode. When ProgValueReset is true, the instruction clears this input to false at each execution.
Default is false. |
ProgHandReq | BOOL | Program hand mode request. Set to true by the user program to request Hand mode. This value is usually read as a digital input from a hand/auto station. When ProgValueReset is true, the instruction clears this input to false at each execution.
Default is false. |
OperProgReq | BOOL | Operator program request. Set to true by the operator interface to request Program control. The instruction clears this input to false at each execution.
Default is false. |
OperOperReq | BOOL | Operator operator request. Set to true by the operator interface to request Operator control. The instruction clears this input to false at each execution.
Default is false. |
OperCasRatReq | BOOL | Operator cascade/ratio mode request. Set to true by the operator interface to request Cascade/ Ratio mode. The instruction clears this input to false at each execution.
Default is false. |
OperAutoReq | BOOL | Operator auto mode request. Set to true by the operator interface to request Auto mode. The instruction clears this input to false at each execution.
Default is false. |
OperManualReq | BOOL | Operator manual mode request. Set to true by the operator interface to request Manual mode. The instruction clears this input to false at each execution.
Default is false. |
ProgValueReset | BOOL | Reset program control values. When true, all the program request inputs are cleared to false by the instruction at each execution. When true and in Operator control, the instruction sets SPProgram = SP and CVProgram = CV.
Default is false. |
TimingMode | DINT | Selects timing execution mode. 0 = Periodic mode 1 = Oversample mode 2 = Real time sampling mode For more information about timing modes, see Function Block Attributes.
Valid = 0 to 2
Default = 0 |
OversampleDT | REAL | Execution time for oversample mode.
Valid = 0 to 4194.303 seconds
Default = 0 |
RTSTime | DINT | Module update period for real time sampling mode
Valid = 1 to 32,767ms
Default = 1 |
RTSTimeStamp | DINT | Module time stamp value for real time sampling mode.
Valid = 0 to 32,767ms
Default = 0 |
AtuneAcquire | BOOL | Acquire PIDE AtuneData request. Default is false. |
AtuneStart | BOOL | Start Autotune request. Default is false. |
AtuneUseGains | BOOL | Use Autotune gains request. Default is false. |
AtuneAbort | BOOL | Abort Autotune request. Default is false. |
AtuneUnacquire | BOOL | Unacquire PIDE AtuneData request. Default is false. |
Output Parameter | Data Type | Description |
|---|---|---|
EnableOut | BOOL | Indicates if instruction is enabled. Cleared to false if CVEU overflows. |
CVEU | REAL | Scaled control variable output. Scaled using CVEUMax and CVEUMin, where CVEUMax corresponds to 100 percent and CVEUMin corresponds to 0 percent. This output typically controls an analog output module or a secondary loop.
CVEU = (CV x CVEUSpan / 100) + CVEUMin
CVEU span calculation: CVEUSpan = (CVEUMax - CVEUMin) |
CV | REAL | Control variable output. This value is expressed as 0 to 100 percent. CV is limited by CVHLimit and CVLLimit when in auto or cascade/ratio mode or manual mode if CVManLimiting is true. Otherwise this value is limited by 0 and 100 percent. |
CVInitializing | BOOL | Initialization mode indicator. CVInitializing is set to true when CVInitReq is true, during instruction first scan, and on a true to false transition of CVHealth (bad to good). CVInitializing is cleared to false after the instruction has been initialized and CVInitReq is false. |
CVHAlarm | BOOL | CV high alarm indicator. Set to true when the calculated value of
CV > 100 or CVHLimit. |
CVLAlarm | BOOL | CV low alarm indicator. Set to true when the calculated value of
CV < 0 or CVLLimit. |
CVROCAlarm | BOOL | CV rate of change alarm indicator. Set to true when the calculated rate of change for CV exceeds CVROCLimit. |
SP | REAL | Current setpoint value. The value of SP is used to control CV when in Auto or Cascade/ Ratio mode. |
SPPercent | REAL | The value of SP expressed in percent of span of PV.
SPPercent = ((SP - PVEUMin) x 100) / PVSpan
PV Span calculation: PVSpan = (PVEUMax - PVEUMin) |
SPHAlarm | BOOL | SP high alarm indicator.
Set to true when the SP > SPHLimit. |
SPLAlarm | BOOL | SP low alarm indicator.
Set to true when the SP < SPLLimit. |
PVPercent | REAL | PV expressed in percent of span.
PVPercent = ((PV- PVEUMin) x 100) / PVSpan
PV Span calculation: PVSpan = (PVEUMax - PVEUMin) |
E | REAL | Process error. Difference between SP and PV, scaled in PV units. |
EPercent | REAL | The error expressed as a percent of span. |
InitPrimary | BOOL | Initialize primary loop command. Set to true when not in Cascade/Ratio mode or when CVInitializing is true. This signal is normally used by the CVInitReq input of a primary PID loop. |
WindupHOut | BOOL | Windup high indicator. Set to true when CV high or CV low limit (depending on the control action) or SP high limit has been reached. This signal is typically used by the WindupHIn input to prevent the windup of the CV output on a primary loop. |
WindupLOut | BOOL | Windup low indicator. Set to true when CV high or CV low limit (depending on the control action) or SP low limit has been reached. This signal is typically used by the WindupLIn input to prevent the windup of the CV output on a primary loop. |
Ratio | REAL | Current ratio multiplier. |
RatioHAlarm | BOOL | Ratio high alarm indicator. Set to true when Ratio > RatioHLimit. |
RatioLAlarm | BOOL | Ratio low alarm indicator. Set to true when Ratio < RatioLLimit. |
ZCDeadbandOn | BOOL | Zero crossing deadband indicator. When true the value of CV does not change. If ZCOff is true, then ZCDeadbandOn is set to true when | E | is within the ZCDeadband range. If ZCOff is false, then ZCDeadbandOn is set to true when | E | crosses zero and remains within the ZCDeadband range. ZCDeadbandOn is cleared to false when | E | exceeds the deadband range or when ZCDeadband = 0. |
PVHHAlarm | BOOL | PV high-high alarm indicator. Set to true when PV PVHHLimit. Cleared to false when PV < (PVHHLimit - PVDeadband) |
PVHAlarm | BOOL | PV high alarm indicator. Set to true when PV PVHLimit. Cleared to false when PV < (PVHLimit - PVDeadband) |
PVLAlarm | BOOL | PV low alarm indicator. Set to true when PV PVLLimit. Cleared to false when PV > (PVLLimit + PVDeadband) |
PVLLAlarm | BOOL | PV low-low alarm indicator. Set to true when PV PVLLLimit. Cleared to false when PV > (PVLLLimit + PVDeadband) |
PVROCPosAlarm | BOOL | PV positive rate-of-change alarm indicator. Set to true when calculated PV rate-of-change PVROCPosLimit. |
PVROCNegAlarm | BOOL | PV negative rate-of-change alarm indicator. Set to true when calculated PV rate-of-change (PVROCNegLimit x -1). |
DevHHAlarm | BOOL | Deviation high-high alarm indicator. Set to true when
PV (SP + DevHHLimit). Cleared to false when
PV < (SP + DevHHLimit - DevDeadband) |
DevHAlarm | BOOL | Deviation high alarm indicator. Set to true when
PV (SP + DevHLimit). Cleared to false when
PV < (SP + DevHLimit - DevDeadband) |
DevLAlarm | BOOL | Deviation low alarm indicator. Set to true when
PV (SP - DevLLimit). Cleared to false when
PV > (SP - DevLLimit + DevDeadband) |
DevLLAlarm | BOOL | Deviation low-low alarm indicator. Set to true when
PV (SP - DevLLLimit). Cleared to false when
PV > (SP - DevLLLimit + DevDeadband) |
ProgOper | BOOL | Program/operator control indicator. Set to true when in Program control. Cleared to false when in Operator control. |
CasRat | BOOL | Cascade/ratio mode indicator. Set to true when in the Cascade/Ratio mode. |
Auto | BOOL | Auto mode indicator. Set to true when in the Auto mode. |
Manual | BOOL | Manual mode indicator. Set to true when in the Manual mode. |
Override | BOOL | Override mode indicator. Set to true when in the Override mode. |
Hand | BOOL | Hand mode indicator. Set to true when in the Hand mode. |
DeltaT | REAL | Elapsed time between updates. This is the elapsed time in seconds used by the control algorithm to calculate the process output. |
AtuneReady | BOOL | Set to true when the specified AtuneData has been acquired by the PIDE instruction. |
AtuneOn | BOOL | Set to true when auto tuning has been initiated. |
AtuneDone | BOOL | Set to true when auto tuning has completed. |
AtuneAborted | BOOL | Set to true when auto tuning has been aborted by the user or due to errors that occurred during the auto tuning operation. |
AtuneBusy | BOOL | Set to true when the specified AtuneData could not be acquired because it is currently acquired by another PIDE instruction. |
Status1 | DINT | Status of the function block. |
InstructFault
(Status1.0) | BOOL | The instruction detected one of the following execution errors. This is not a minor or major controller error. Check the remaining status bits to determine what occurred. |
PVFaulted (Status1.1) | BOOL | Process variable (PV) health bad. |
CVFaulted (Status1.2) | BOOL | Control variable (CV) health bad. |
HandFBFaulted
(Status1.3) | BOOL | HandFB value health bad. |
PVSpanInv
(Status1.4) | BOOL | Invalid span of PV. PVEUMax £ PVEUMin. |
SPProgInv
(Status1.5) | BOOL | SPProg < SPLLimit or SPProg > SPHLimit. The instruction uses the limited value for SP. |
SPOperInv
(Status1.6) | BOOL | SPOper < SPLLimit or SPOper > SPHLimit. The instruction uses the limited value for SP. |
SPCascadeInv
(Status1.7) | BOOL | SPCascade < SPLLimit or SPCascade > SPHLimit. The instruction uses the limited value for SP. |
SPLimitsInv
(Status1.8) | BOOL | Limits invalid: SPLLimit < PVEUMin, SPHLimit > PVEUMax, or SPHLimit < SPLLimit. If SPHLimit < SPLLimit, the instruction limits the value using SPLLimit |
RatioProgInv
(Status1.9) | BOOL | RatioProg < RatioLLimit or RatioProg > RatioHLimit. The instruction limits the value for Ratio. |
RatioOperInv
(Status1.10) | BOOL | RatioOper < RatioLLimit or RatioOper > RatioHLimit. The instruction limits the value for Ratio. |
RatioLimitsInv
(Status1.11) | BOOL | RatioLLimit < 0 or RatioHLimit < RatioLLimit. |
CVProgInv
(Status1.12) | BOOL | CVProg < 0 or CVProg > 100, or CVProg < CVLLimit or CVProg > CVHLimit when CVManLimiting is true. The instruction limits the value for CV. |
CVOperInv
(Status1.13) | BOOL | CVOper < 0 or CVOper > 100, or CVOper < CVLLimit or CVOper > CVHLimit when CVManLimiting is true. The instruction limits the value for CV. |
CVOverrideInv (Status1.14) | BOOL | CVOverride < 0 or CVOverride > 100. The instruction limits the value for CV. |
CVPreviousInv (Status1.15) | BOOL | CVPrevious < 0 or CVPrevious > 100, or CVPrevious < CVLLimit or CVPrevious > CVHLimit when in Auto or Cascade/Ratio mode. The instruction limits the value of CVn-1. |
CVEUSpanInv
(Status1.16) | BOOL | Invalid CVEU span. The instruction uses a value of
CVEUMax = CVEUMin. |
CVLimitsInv
(Status1.17) | BOOL | CVLLimit < 0, CVHLimit > 100, or CVHLimit < CVLLimit. If CVHLimit < CVLLimit, the instruction limits CV using CVLLimit. |
CVROCLimitInv (Status1.18) | BOOL | CVROCLimit < 0. The instruction disables ROC limiting. |
FFInv (Status1.19) | BOOL | FF < -100 or FF > 100. The instruction uses the limited value for FF. |
FFPreviousInv
(Status1.20) | BOOL | FFPrevious < - 100 or FFPrevious > 100. The instruction uses the limited value for FF n-1. |
HandFBInv
(Status1.21) | BOOL | HandFB < 0 or HandFB > 100. The instruction uses the limited value for CV. |
PGainInv
(Status1.22) | BOOL | PGain < 0. The instruction uses a value of PGain = 0. |
IGainInv
(Status1.23) | BOOL | IGain < 0. The instruction uses a value of IGain = 0. |
DGainInv
(Status1.24) | BOOL | DGain < 0. The instruction uses a value of DGain = 0. |
ZCDeadbandInv (Status1.25) | BOOL | ZCDeadband < 0. The instruction disables zero crossing deadband. |
PVDeadbandInv (Status1.26) | BOOL | PVDeadband < 0. The instruction limits PVDeadband to zero. |
PVROCLimitsInv (Status1.27) | BOOL | PVROCPosLimit < 0, PVROCNegLimit < 0, or PVROCPeriod < 0. |
DevHLLimitsInv (Status1.28) | BOOL | Deviation high-low limits invalid. Low-low limit < 0,
low limit < 0, high limit < 0, or high-high limit < 0. The instruction uses 0 for the invalid limit. |
DevDeadbandInv (Status1.29) | BOOL | Deviation deadband < 0. The instruction uses a value of DevDeadband = 0. |
Status2 | DINT | Timing status of the function block. |
TimingModeInv
(Status2.27) | BOOL | Invalid TimingMode value.
For more information about timing modes, see Function Block Attributes. |
RTSMissed
(Status2.28) | BOOL | Only used in real time sampling mode. Set to true when
ABS | DeltaT - RTSTime | > 1 (.001 second). |
RTSTimeInv
(Status2.29) | BOOL | Invalid RTSTime value. |
RTSTimeStampInv (Status2.30) | BOOL | Invalid RTSTimeStamp value. |
DeltaTInv
(Status2.31) | BOOL | Invalid DeltaT value. |
Description
The PID algorithm regulates the CV output in order to maintain the PV at the SP when the instruction executes in Cascade/Ratio or Auto modes.
When ControlAction is set, the calculated value of EPercent and PVPIDPercent is negated before being used by the control algorithm.
The following table describes how the instruction calculates the PID terms.
PID Term | Method of Calculation |
|---|---|
proportional | The proportional term is calculated using:
Set PGain = 0 to disable proportional control. |
integral | The integral term is calculated using Error. Set IGain = 0 to disable integral control. Also, setting PGain = 0 when DependIndepend is set will disable integral control. |
derivative | The derivative term is calculated using:
Set DGain = 0 to disable derivative control. Also, setting PGain = 0 when DependIndepend is set will disable derivative control. Derivative smoothing is enabled when DSmoothing is set and disabled when DSmoothing is cleared. Derivative smoothing causes less CV output "jitter" as a result of a noisy PV signal but also limits the effectiveness of high derivative gains. |
Computing CV
The PID control algorithm computes the value for CV by summing Delta PTerm, Delta ITerm, Delta
DTerm, and CV from the previous execution of the instruction, for example CV
n-1
. When CVsetPrevious is set,CVn-1 is set equal to CVPrevious. This lets you preset CV
n-1
to a specified value before computing the value of CV.CalculatedCV = CV
PTerm + DITerm + DDTerm
n-1
+ D
PTerm + DITerm + DDTermPIDE Algorithms
The PIDE instruction uses a velocity form PID algorithm similar to that used in most DCS systems. Some advantages to a velocity form algorithm include:
- Bumpless adaptive gain changes – You can change gains on the fly without initializing the algorithm.
- Multi-loop control schemes – You can implement cross limiting between loops by manipulating the CVn-1term.
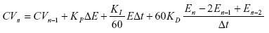
Independent Gains Form

In this form of the algorithm, each term of the algorithm (proportional, integral, and derivative) has a separate gain. Changing one gain only affects that term and not any of the others, where:
PIDE term: | Description: |
|---|---|
CV | Control variable |
E | Error in percent of span |
D t | Update time in seconds used by the loop |
K p | Proportional gain |
K I | Integral gain in min -1 a larger value of K I causes a faster integral response. |
K D | Derivative gain in minutes |
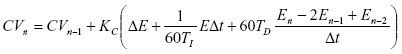
Dependent Gains Form

This form of the algorithm changes the proportional gain into a controller gain. By changing the controller gain, you change the action of all three terms (proportional, integral, and derivative) at the same time, where:
PIDE term: | Description: |
|---|---|
CV | Control variable |
E | Error in percent of span |
D t | Update time in seconds used by the loop |
K c | Controller gain |
T I | Integral time constant in minutes per repeat a larger value of T 1 causes a slower integral responseIt takes T 1 minutes for the integral term to repeat the action of the proportional term in response to a step change in error. |
T D | Derivative time in constant in minutes |
PIDE term: | Description: |
|---|---|
CV | Control variable |
E | Error in percent of span |
D t | Update time in seconds used by the loop |
Kp | Proportional gain |
K I | Integral gain in min -1 a larger value of K I causes a faster integral response. |
K D | Derivative gain in minutes |
Determining Which Algorithm to Use

The PIDE equations above are representative of the algorithms used by the PIDE instruction. You can substitute the change in error values for the change in PV (in percent of span) for the proportional and derivative terms by manipulating the parameters PVEProportional and PVEDerivative. By default, the PIDE instruction uses the change in error for the proportional term and the change in PV for the derivative term. This eliminates large derivative spikes on changes in setpoint.
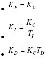
You can convert the gains used between the different PIDE algorithm forms using these equations:

Each algorithm provides identical control with the appropriate gains. Some people prefer the independent gains style because they can manipulate individual gains without affecting the other terms. Others prefer the dependent gains style because they can, at least to a certain extent, change just the controller gain and cause an overall change in the aggressiveness of the PID loop without changing each gain separately.
Monitoring the PIDE Instruction
There is an operator faceplate available for the PIDE instruction.
Autotuning the PIDE Instruction
The
Logix Designer
Logix Designer
application PIDE autotuner provides an open-loop autotuner built into the PIDE instruction. You can autotune from PanelView
terminal or any other operator interface devices, as well as the Logix Designer
application. The PIDE block has an Autotune Tag (type PIDE_AUTOTUNE) that you specify for those PIDE blocks that you want to autotune.The PIDE autotuner is installed with the application, but you need an activation key to enable it. The autotuner is only supported in function block programming; it is not available in ladder diagram or structured text programming.
Use the Autotune tab to specify and configure the autotune tag for a PIDE block.
Affects Math Status Flags
No
Major/Minor Faults
None specific to this instruction. See Common Attributes for operand-related faults.
Execution
Function Block
Condition/State | Action Taken |
|---|---|
Prescan | EnableIn and EnableOut bits are cleared to false. |
Tag.EnableIn is false | EnableIn and EnableOut bits are cleared to false. |
Tag.EnableIn is true | EnableIn and EnableOut bits are set to true. The instruction executes. |
Instruction first run | N/A |
Instruction first scan | If CVFault and CVEUSpanlnv are set,see Processing Faults later in this instruction. If CVFault and CVEUSpanlnv are cleared:
|
Postscan | EnableIn and EnableOut bits are cleared to false. |
Structured Text
Condition/State | Action Taken |
Prescan | See Prescan in the Function Block table. |
Normal Execution | See Tag.EnableIn is true in the Function Block table. |
Postscan | See Postscan in the Function Block table. |
When CVInitReq is set, or during instruction first scan, or on a set to cleared transition of CVFault (bad to good), the instruction initializes the CVEU and CV outputs to the value of CVInitValue. If the timing mode is not oversample and EnableIn transitions from cleared to set, the instruction initializes the CVEU and CV values. CVInitialization is cleared after the initialization and when CVInitReq is cleared.
The CVInitValue normally comes from the analog output’s readback value. The CVInitReq value normally comes from the "In Hold" status bit on the analog output controlled by CVEU. The initialization procedure is performed to avoid a bump at startup in the output signal being sent to the field device.
When using cascaded PID loops, the primary PID loop can be initialized when the secondary loop is initialized or when the secondary loop leaves the Cascade/Ratio mode. In this case, move the state of the InitPrimary output and SP output from the secondary loop to the CVInitReq input and CVInitValue input on the primary loop.
The instruction does not initialize and the CVEU and CV values are not updated if CVFault or CVEUSpanInv is set.
Examples
Example 1
The easiest way to implement a PIDE instruction is to create a function block routine in a program in a periodic task. The default timing mode for the PIDE instruction is periodic. When the PIDE instruction is used in a periodic task and in periodic timing mode, it automatically uses the periodic task's update rate as its delta t update time. All you need to do is wire the process variable analog input into the PV parameter on the PIDE instruction and wire the CVEU out of the PIDE instruction into the controlled variable analog output.
Optionally, you can wire the analog input’s fault indicator (if one is available) into the PVFault parameter on the PIDE instruction. This forces the PIDE into Manual mode when the analog input is faulted and stops the PIDE CVEU output from winding up or down when the PV signal is not available.
Function Block

Structured Text
PIDE_01.PV := Local:1:I.Ch0Data;
PIDE_01.PVFault := Local:1:I.Ch0Fault;
PIDE(PIDE_01);
Local:2:)O.Ch0Data :=PIDE_01.CVEU;
Example 2
Cascade control is useful when externally-caused upsets to the controlled variable occur often, which then cause upsets to the process variable you are trying to control. For example, try to control the temperature of liquid in a tank by varying the amount of steam fed into a heating jacket around the tank. If the steam flow suddenly drops because of an upstream process, the temperature of the liquid in the tank eventually drops and the PIDE instruction then opens the steam valve to compensate for the drop in temperature.
In this example, a cascaded loop provides better control by opening the steam valve when the steam flow drops before the liquid temperature in the tank drops. To implement a cascaded loop, use a PIDE instruction to control the steam valve opening based on a process variable signal from a steam flow transmitter. This is the secondary loop of the cascaded pair. A second PIDE instruction (called the primary loop) uses the liquid temperature as a process variable and sends its CV output into the setpoint of the secondary loop. In this manner, the primary temperature loop asks for a certain amount of steam flow from the secondary steam flow loop. The steam flow loop is then responsible for providing the amount of steam requested by the temperature loop in order to maintain a constant liquid temperature.
Function Block

Structured Text
PrimaryLoop.PV := Local:1:I.CH0Data;
PrimaryLoop.CVInitReq := SecondaryLoop.InitPrimary;
PrimaryLoop.CVInitValue := SecondaryLoop.SP;
PrimaryLoop.WindupHIn := SecondaryLoop.WindupHOut;
PrimaryLoop.WindupLIn := SecondaryLoop.WindupLOut;
PIDE(PrimaryLoop);
SecondaryLoop.PV := Local:1:I.Ch1Data;
SecondaryLoop.SPCascade := PrimaryLoop.CVEU;
PIDE(SecondaryLoop);
Local:2:O.Ch0Data:= SecondaryLoop.CVEU;
For a cascaded pair of loops to work correctly, the secondary loop must have a faster process response than the primary loop. This is because the secondary loop’s process must be able to compensate for any upsets before these upsets affect the primary loop’s process. In this example, if steam flow drops, the steam flow must be able to increase as a result of the secondary controller’s action before the liquid temperature is affected.
To set up a pair of cascaded PIDE instructions, set the
AllowCasRat
input parameter in the secondary loop. This allows the secondary loop to be placed into Cascade/Ratio mode. Next, wire the CVEU
from the primary loop into the SPCascade
parameter on the secondary loop. The SPCascade
value is used as the SP on the secondary loop when the secondary loop is placed into Cascade/Ratio mode. The engineering unit range of the CVEU on the primary loop should match the engineering unit range of the PV on the secondary loop. This lets the primary loop scale its 0-100% value of CV into the matching engineering units used for the setpoint on the secondary loop.The PIDE instruction supports several other features to more effectively support cascade control. Wire the
InitPrimary
output on the secondary loop into the CVInitReq
input on the primary loop and wire the SP output of the secondary into the CVInitValue
input on the primary. This sets the CVEU value of the primary loop equal to the SP of the secondary loop when the secondary loop leaves Cascade/Ratio mode. This allows a bumpless transfer when you place the secondary loop back into Cascade/Ratio mode. Also, wire the WindupHOut
and WindupLOut outputs on the secondary loop into the WindupHIn
and WindupLIn
inputs on the primary loop. This causes the primary loop to stop increasing or decreasing, as appropriate, its value of CVEU if the secondary loop hits a SP limit or CV limit and eliminates any windup on the primary loop if these conditions occur.Example 3
Ratio control is typically used to add a fluid in a set proportion to another fluid. For example, if you want to add two reactants (say A and B) to a tank in a constant ratio, and the flow rate of reactant A may change over time because of some upstream process upsets, you can use a ratio controller to automatically adjust the rate of reactant B addition. In this example, reactant A is often called the "uncontrolled" flow since it is not controlled by the PIDE instruction. Reactant B is then called the "controlled" flow.
To perform ratio control with a PIDE instruction, set the
AllowCasRat
and UseRatio
input parameters. Wire the uncontrolled flow into the SPCascade
input parameter. When in Cascade/Ratio mode, the uncontrolled flow is multiplied by either the RatioOper
(when in Operator control) or the RatioProg (when in Program control) and the resulting value is used by the PIDE instruction as the setpoint.Function Block

Structured Text
PIDE_01.PV := ControlledFlow;
PIDE_01.SPCascade := UncontrolledFlow;
PIDE(PIDE_01);
Local:2:O.Ch0Data := PIDE_01.CVEU;
Switching Between Program Control and Operator Control
The PIDE instruction can be controlled by either a user program or an operator interface. You can change the control mode at any time. Program and Operator control use the same ProgOper output. When ProgOper is set, control is Program; when ProgOper is cleared, control is Operator.
The following diagram shows how the PIDE instruction changes between Program control and Operator control.

(1) The instruction remains in Operator control mode when ProgOperReq is set.
Operating Modes
The PIDE instruction supports the following PID modes.
PID Operating Mode | Description |
|---|---|
Cascade/Ratio | While in Cascade/Ratio mode the instruction computes the change in CV. The instruction regulates CV to maintain PV at either the SPCascade value or the SPCascade value multiplied by the Ratio value. SPCascade comes from either the CVEU of a primary PID loop for cascade control or from the "uncontrolled" flow of a ratio-controlled loop. Select Cascade/Ratio mode using either OperCasRatReq or ProgCasRatReq: Set OperCasRatReq to request Cascade/Ratio mode. Ignored when ProgOper, ProgOverrideReq, ProgHandReq, OperAutoReq, or OperManualReq is set, or when AllowCasRat is cleared. Set ProgCasRatReq to request Cascade/Ratio mode. Ignored when ProgOper or AllowCasRat is cleared or when ProgOverrideReq, ProgHandReq, ProgAutoReq, or ProgManualReq is set. |
Auto | While in Auto mode the instruction computes the change in CV. The instruction regulates CV to maintain PV at the SP value. If in program control, SP = SPProg; if in Operator control, SP = SPOper. Select Auto mode using either OperAutoReq or ProgAutoReq: Set OperAutoReq to request Auto mode. Ignored when ProgOper, ProgOverrideReq, ProgHandReq, or OperManualReq is set. Set ProgAutoReq to request Auto mode. Ignored when ProgOper is cleared or when ProgOverrideReq, ProgHandReq, or ProgManualReq is set. |
Manual | While in Manual mode the instruction does not compute the change in CV. The value of CV is determined by the control. If in Program control, CV = CVProg; if in Operator control, CV = CVOper. Select Manual mode using either OperManualReq or ProgManualReq: Set OperManualReq to request Manual mode. Ignored when ProgOper, ProgOverrideReq, or ProgHandReq is set. Set ProgManualReq to request Manual mode. Ignored when ProgOper is cleared or when ProgOverrideReq or ProgHandReq is set. |
Override | While in Override mode the instruction does not compute the change in CV.
CV = CVOverride, regardless of the control mode. Override mode is typically used to set a "safe state" for the PID loop. Select Override mode using ProgOverrideReq: Set ProgOverrideReq to request Override mode. Ignored when ProgHandReq is cleared. |
Hand | While in Hand mode the PID algorithm does not compute the change in CV.
CV = HandFB, regardless of the control mode. Hand mode is typically used to indicate that control of the final control element was taken over by a field hand/auto station. Select Hand mode using ProgHandReq: Set ProgHandReq to request hand mode. This value is usually read as a digital input from a hand/auto station. |
The Cascade/Ratio, Auto, and Manual modes can be controlled by a user program when in Program control or by an operator interface when in Operator control. The Override and Hand modes have a mode request input that can only be controlled by a user program; these inputs operate in both Program and Operator control.
Selecting the Setpoint
Once the instruction determines program or operator control and the PID mode, the instruction can obtain the proper SP value. You can select the cascade/ratio SP or the current SP.
Cascade/Ratio SP
The cascade/ratio SP is based on the UseRatio and ProgOper values.

Current SP
The current SP is based on the Cascade/Ratio mode, the PVTracking value, auto mode, and the ProgOper value.

SP High/Low Limiting
The high-to-low alarming algorithm compares SP to the SPHLimit and SPLLimit alarm limits. SPHLimit cannot be greater than PVEUMax and SPLLimit cannot be less than PVEUMin.

Updating the SPOper and SPProg Values
The PIDE instruction makes SPOper = SP or SPProg = SP to obtain bumpless control switching between Program and Operator control or when switching from Cascade/Ratio mode.

PV High/Low Alarming
The high-high to low-low alarming algorithm compares PV to the PV alarm limits and the PV alarm limits plus or minus the PV alarm deadband

(1) During instruction first scan, the instruction clears all the PV alarm outputs. The instruction also clears the PV alarm outputs and disables the alarming algorithm when PVFaulted is set.
PV Rate-of-Change Alarming
PV rate-of-change (ROC) alarming compares the change in the value of PV over the PVROCPeriod against the PV positive and negative rate-of-change limits. The PVROCPeriod provides a type of deadband for the rate-of-change alarm. For example, if you use a ROC alarm limit of 2°F/second with a period of execution of 100 ms, and an analog input module with a resolution of 1°F, then every time the input value changes, a ROC alarm is generated because the instruction sees a rate of 10°F/second. However, by entering a PVROCPeriod of at least 1 sec, the ROC alarm is only generated if the rate truly exceeds the 2°F/second limit.
The ROC calculation is only performed when the PVROCPeriod has expired. The rate-of-change is calculated as:
ElapsedROCPeriod = ElapsedROCPeriod + ElapsedTimeSinceLastExecution
If ElapsedROCPeriod
³
PVROCPeriod then:This value: | Is: |
|---|---|
PVROC | ![]() |
PVROC N-1 | PVROC N-1 = PV |
ElapsedROCPeriod | ElapsedROCPeriod = 0 |
Once PVROC has been calculated, the PV ROC alarms are determined as follows:

(1) During instruction first scan, the instruction clears the PV ROC alarm outputs. The instruction also clears the PVROC alarm outputs and disables the PV ROC alarming algorithm when PVFaulted is set.
Converting the PV and SP Values to Percent
The instruction converts PV and SP to a percent and calculates the error before performing
the PID control algorithm. The error is the difference between the PV and SP values. When
ControlAction is set, the values of EPercent, E, and PVPIDPercent are negated before being
used by the PID algorithm.

(1) PVPIDPercent and Deviation are internal parameters used by the PID control algorithm.
Deviation High/Low Alarming
Deviation is the difference in value between the process variable (PV) and setpoint (SP). Deviation alarming alerts the operator to a discrepancy between the process variable and the setpoint value.
The high-high to low-low alarming algorithm compares the deviation to deviation alarm limits and the deviation alarm limits plus or minus the deadband.

(1) During instruction first scan, the instruction clears the deviation alarm outputs. The instruction also clears the deviation alarm outputs and disables the alarming algorithm when PVFaulted or PVSpanInv is set.
Zero Crossing Deadband Control
You can limit CV such that its value does not change when error remains within the range specified by ZCDeadband (| E |
£
ZCDeadband).
(1)
When ZCOff is cleared, ZCDeadband > 0, error has crossed zero for the first time, (i.e. En >= 0 and En-1 < 0 or when En <= 0 and En-1 > 0), and | En | <= ZCDeadband, the instruction sets ZCDeadbandOn.(2)
On the transition to Auto or Cascade/Ratio mode, the instruction sets En-1 = En.The instruction disables the zero crossing algorithm and clears ZCDeadband under these conditions:
- during instruction first scan
- ZCDeadband£0
- Auto or Cascade/Ratio is not the current mode
- PVFaulted is set
- PVSpanInv is set
Feedforward Control
Compute CV by summing CV from the zero crossing algorithm with ∆FF. The value of ∆FF = FF – FFn-1. When FFSetPrevious is set, FFn-1=FFPrevious. This lets you preset FFn-1 to a specified value before the instruction calculates the value of ∆FF.

Selecting the Control Variable
Once the PID algorithm has been executed, select the CV based on program or operator control and the current PID mode.

CV Windup Limiting
Limit the CV such that its value cannot increase when WindupHIn is set or decrease when WindupLIn is set. These inputs are typically the WindupHOut or WindupLOut outputs from a secondary loop. The WindupHIn and WindupLIn inputs are ignored if CVInitializing, CVFault, or CVEUSpanInv is set.

CV Percent Limiting
The following diagram illustrates how the instruction determines CV percent limiting.

(1) During instruction first scan, the instruction clears the alarm outputs.
CV High/Low Limiting
The instruction always performs alarming based on CVHLimit and CVLLimit. Limit CV by CVHLimit and CVLLimit when in auto or cascade/ratio mode. When in manual mode, limit CV by CVHLimit and CVLLimit when CVManLimiting is set. Otherwise limit CV by 0 and 100 percent.

(1) During instruction first scan, the instruction clears the alarm outputs.
CV Rate-of-Change Limiting
The PIDE instruction limits the rate-of-change of CV when in Auto or Cascade/Ratio mode or when in Manual mode and CVManLimiting is set. A value of zero disables CV rate-of-change limiting.
The CV rate-of-change is calculated as:

where DeltaT is in seconds.
Once CV rate-of-change has been calculated, the CV rate-of-change alarms are determined as follows:

(1) During instruction first scan, the instruction clears the alarm output. The instruction also clears the alarm output and disables the CV rate-of-change algorithm when CVInitializing is set.
(2) When in Auto or Cascade/Ratio mode or when in Manual mode and CVManLimiting is set, the instruction limits the change of CV.
Updating the CVOper and CVProg Values
If not in the Operator Manual mode, the PIDE instruction sets CVOper = CV. This obtains bumpless mode switching from any control to the Operator Manual mode.

Primary Loop Control
Primary loop control is typically used by a primary PID loop to obtain bumpless switching and anti-reset windup when using Cascade/Ratio mode. The primary loop control includes the initialize primary loop output and the anti-reset windup outputs. The InitPrimary output is typically used by the CVInitReq input of a primary PID loop. The windup outputs are typically used by the windup inputs of a primary loop to limit the windup of its CV output.

(1) During instruction first scan, the instruction sets InitPrimary.
(2) When CVInitializing is set or when not in Cascade/Ratio mode the instruction sets InitPrimary.
(3) When CVInitializing is cleared and in Cascade/Ratio mode, the instruction clears InitPrimary.
(4) During instruction first scan, the instruction clears the windup outputs. The instruction also clears the windup outputs and disables the CV windup algorithm when CVInitializing is set or if either CVFaulted or CVEUSpanInv is set.
(5) The instruction sets WindupHOut when SPHAlarm is set, or when ControlAction is cleared and CVHAlarm is set, or when ControlAction is set and CVLAlarm is set.
The SP and CV limits operate independently. A SP high limit does not prevent CV from increasing in value. Likewise, a CV high or low limit does not prevent SP from increasing in value.
(6) The instruction clears WindupHOut when SPHAlarm is cleared, and not (ControlAction is cleared and CVHAlarm is set), and not (ControlAction is set and CVLAlarm is set).
(7) The instruction sets WindupLOut when SPLAlarm is set, or when ControlAction is cleared and CVLAlarm is set, or when ControlAction is set and CVHAlarm is set.
The SP and CV limits operate independently. A SP low limit does not prevent CV from increasing in value. likewise a CV low or high limit does not prevent SP from increasing in value.
(8) The instruction clears WindupLOut when SPLAlarm is cleared and not (ControlAction is cleared and CVLAlarm is set) and not (ControlAction is set and CVHAlarm is set).
Processing Faults
The following table describes how the instruction handles execution faults:
Fault Condition | Action |
|---|---|
CVFaulted is true or
CVEUSpanInv is true | Instruction is not initialized, CVInitializing is cleared to false Compute PV and SP percent, calculate error, update internal parameters for EPercent and PVPIDPercent PID control algorithm is not executed Disable the Auto and Cascade/Ratio modes. If Override or Hand is not the current mode, set to Manual mode. Set CV to value determined by Program or Operator control and mode (Manual, Override, or Hand). |
PVFaulted is true | Disable the Auto and Cascade/Ratio modes. If Override or Hand is not the current mode, set to Manual mode PV high-low, PV rate-of-change, and deviation high-low alarm outputs are cleared to false PID control algorithm is not executed Set CV to value by determined by Program or Operator control and mode (Manual, Override, or Hand). |
PVSpanInv is true or
SPLimitsInv is true | Disable the Auto and Cascade/Ratio modes. If Override or Hand is not the current mode, set to Manual mode Do not compute PV and SP percent PID control algorithm is not executed Set CV to value by determined by Program or Operator control and mode (Manual, Override, or Hand). |
RatioLimitsInv is true and
CasRat is true and
UseRatio is true | If not already in Hand or Override, set to Manual model Disable the Cascade/Ratio mode Set CV to value determined by Program or Operator control and mode (Manual, Override, or Hand). |
TimingModeInv is true or
RTSTimeStampInv is true or
DeltaTInv is true | If not already in Hand or Override, set to Manual mode |
Provide Feedback
maximum positive float
0.0
