Lead-Lag (LDLG)
This information applies to the
CompactLogix
5370, ControlLogix
5570, Compact GuardLogix
5370, GuardLogix
5570, Compact GuardLogix
5380, CompactLogix
5380, ControlLogix
5580, GuardLogix
5580, and ControlLogix 5590 controllers.The Lead-Lag (LDLG) instruction provides a phase lead-lag compensation for an input signal.
This instruction is typically used for feedforward PID control or for process
simulations.
Available Languages
Ladder Diagram
This instruction is not available in ladder diagram.
Function Block

Structured Text
LDLG(LDLG_tag);
Operands
Function Block
Operand | Type | Format | Description |
LDLG tag | LEAD_LAG | Structure | LDLG structure |
Structured Text
Operand | Type | Format | Description |
LDLG tag | LEAD_LAG | Structure | LDLG structure |
See
Structured Text Syntax
for more information on the syntax of expressions within structured text.LEAD_LAG Structure
Input Parameter | Data Type | Description |
---|---|---|
EnableIn | BOOL | Enable input. If cleared, the instruction does not execute and outputs are not updated.
Default is set. |
In | REAL | The analog signal input to the instruction.
Valid = any float
Default = 0.0 |
Initialize | BOOL | Request to initialize filter control algorithm. When Initialize is set, Out = (In x Gain) + Bias.
Default = cleared |
Lead | REAL | The lead time in seconds. Set Lead = 0.0 to disable the lead control algorithm. If Lead < 0.0, the instruction sets the appropriate bit in Status and limits Lead to 0.0. If Lead > maximum positive float, the instruction sets the appropriate bit in Status.
Valid = any float ![]() Default = 0.0 |
Lag | REAL | The lag time in seconds. The minimum lag time is DeltaT/2. If Lag < DeltaT/2, the instruction sets the appropriate bit in Status and limits Lag to DeltaT/2. If Lag > maximum positive float, the instruction sets the appropriate bit in Status.
Valid = any float ![]() Default = 0.0 |
Gain | REAL | The process gain multiplier. This value allows the simulation of a process gain. The In signal is multiplied by this value. I = (In x Gain) + Bias
Valid = any float
Default = 1.0 |
Bias | REAL | The process offset level. This value allows the simulation of an ambient condition. This value is summed with the results of the multiplication of In times Gain. I = (In x Gain) + Bias
Valid = any float
Default = 0.0 |
TimingMode | DINT | Selects timing execution mode. 0 = Periodic rate 1 = Oversample mode 2 = Real-time sampling mode Valid = 0 to 2
Default = 0
For more information about timing modes, see Function Block Attributes. |
OversampleDT | REAL | Execution time for oversample mode.
Valid = 0 to 4194.303 seconds
Default = 0 |
RTSTime | DINT | Module update period for real time sampling mode
Valid = 1 to 32,767ms
Default = 1 |
RTSTimeStamp | DINT | Module time stamp value for real time sampling mode.
Valid = 0 to 32,767ms
Default = 0 |
Output Parameter | Data Type | Description |
---|---|---|
EnableOut | BOOL | Enable output. |
Out | REAL | The calculated output of the algorithm. Math status flags are used for this output. |
DeltaT | REAL | Elapsed time between updates. This is the elapsed time in seconds used by the control algorithm to calculate the process output. |
Status | DINT | Status of the function block. |
InstructFault (Status.0) | BOOL | The instruction detected one of the following execution errors. This is not a minor or major controller error. Check the remaining status bits to determine what occurred. |
LeadInv (Status.1) | BOOL | Lead < minimum value or Lead > maximum value. |
LagInv (Status.2) | BOOL | Lag < minimum value or Lag > maximum value. |
TimingModeInv (Status.27) | BOOL | Invalid TimingMode value.
For more information about timing modes, see Function Block Attributes. |
RTSMissed (Status.28) | BOOL | Only used in real time sampling mode. Set when
ABS | DeltaT - RTSTime | > 1 (.001 second). |
RTSTimeInv (Status.29) | BOOL | Invalid RTSTime value. |
RTSTimeStampInv (Status.30) | BOOL | Invalid RTSTimeStamp value. |
DeltaTInv (Status.31) | BOOL | Invalid DeltaT value. |
Description
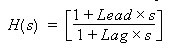
The LDLG instruction supports one lead and lag in series. The instruction also allows configurable gain and bias factors. The LDLG instruction is designed to execute in a task where the scan rate remains constant.
The LDLG instruction uses this equation:

with these parameter limits:
Parameter | Limitations |
---|---|
Lead | LowLimit = 0.0
HighLimit = maximum positive float |
Lag | LowLimit = DeltaT/2 (DeltaT is in seconds)
HighLimit = maximum positive float |
Whenever the value computed for the output is invalid, NAN, or
INF, the instruction sets Out = the invalid value and sets the Math overflow status flag. When the value computed for the output becomes valid, the instruction initializes the internal parameters and sets Out = (In x Gain) + Bias.

Math Status Flags
No
Major/Minor Faults
None specific to this instruction. See Common Attributes for operand-related faults.
Execution
Function Block
Condition | Function Block Action |
---|---|
Prescan | EnableIn and EnableOut bits are cleared to false. |
Tag.EnableIn is false | EnableIn and EnableOut bits are cleared to false. |
Tag.EnableIn is true | EnableIn and EnableOut bits are set to true. The instruction executes. |
Instruction first run | N/A |
Instruction first scan | Execute "Out = (In * Gain) + Bias". Recalculate Lead/Lag coefficients. |
Postscan | EnableIn and EnableOut bits are cleared to false. |
Structured Text
Condition/State | Action Taken |
---|---|
Prescan | See Prescan in the Function Block table. |
Normal Execution | See Tag.EnableIn is true in the Function Block table. |
Postscan | See Postscan in the Function Block table. |
Example
The LDLG instruction in this example adds a first-order lag to a simulated process. Optionally, you could enter a Gain on the LDLG instruction to simulate a process gain, and you could enter a Bias to simulate an ambient condition.
Function Block

Structured Text
DEDT_01.In := SimulatedLoop.CVEU;
DEDT(DEDT_01,DEDT_01_array);
LDLG_01.In := DEDT_01.Out;
LDLG(LDLG_01);
SimulatedLoop.PV := LDLG_01.Out;
PIDE(SimulatedLoop);
Provide Feedback